Поставка запорной арматуры и деталей трубопровода



Поставка запорной арматуры и деталей

трубопровода

Телефон +7 495 364-94-19   Корзина (0)
ГлавнаяСтатьи

Статьи


МЕЖГОСУДАРСТВЕННЫЙ СОВЕТ ПО СТАНДАРТИЗАЦИИ, МЕТРОЛОГИИ И СЕРТИФИКАЦИИ

(МГС)

INTERSTATE COUNCIL FOR STANDARDIZATION, METROLOGY AND CERTIFICATION

(ISC)

МЕЖГОСУДАРСТВЕННЫЙ

СТАНДАРТ ГОСТ 9544-2015

Арматура трубопроводная

НОРМЫ ГЕРМЕТИЧНОСТИ ЗАТВОРОВ

(ISO 5208:2008 (Е), NEQ)
(CEI/IEC 60534-4:2006, NEQ)

Издание официальное

Москва
Стандартинформ

2015 г

Предисловие

Цепи, основные принципы и основной порядок проведения работ по межгосударственной стан
дартизации установлены ГОСТ 1.0—92 «Межгосударственная система стандартизации. Основные положения» и ГОСТ 1.2—2009 «Межгосударственная система стандартизации. Стандарты межгосударственные. правила и рекомендации по межгосударственной стандартизации. Правила разработки, принятия, применения, обновления и отмены»


Сведения о стандарте



1. РАЗРАБОТАН Закрытым акционерным обществом «Научно-производственная фирма

«Центральное конструкторское бюро арматуростроения» (ЗАО «НПФ «ЦКБА»)

2. ВНЕСЕН Межгосударственным техническим комитетом по стандартизации МТК 259

«Трубопроводная арматура и сильфоны»

3. ПРИНЯТ Межгосударственным советом по стандартизации, метрологии и сертификации (про
токол от 27 марта 2015 г № 76-П)


За принятие стандарта проголосовали:


Краков наименование страны
по МК <ИСО Э1вв) 004—07

Код страны

по МК (ИСО Э1вв) 004-97

Сокращенное наммоноааиио национального органа
по стандарт и займи

Армения

AM

Минэкономики Республики Армения

Беларусь

BY

Госстандарт Республики Беларусь

Киргизия

KG

Кыргызстандарг

Россия

RU

Росстандарт

Таджикистан

TJ

Таджикстандарт

Украина

UA

Минэкономразвития Украины




4. Приказом Федерального агентства по техническому регулированию и метрологии от 26 мая
2015 г.
N9 440-ст межгосударственный стандарт ГОСТ 9544—2015 введен в действие в качестве национального стандарта Российской Федерации с 1 апреля 2016 г.

5 Настоящий стандарт соответствует в части требований к герметичности затвора следующим
международным стандартам:

ISO 5208:2008 (Е) Industrial valves Pressure testing of metallic valves (Арматура трубопроводная промышленная. Испытание давлением);

CEI/IEC 60534-4:2006 Industrial-process control valves — Part 4: Inspection and routine testing (Клапаны регулирующие для технологических процессов. Часть 4. Контроль и типовые испытания).

Степень соответствия — неэквивалентная (NEQ)


6 Стандарт подготовлен на основе применения ГОСТ Р 54808—201Г


7 ВВЕДЕН ВПЕРВЫЕ

Информация об изменениях к настоящему стандарту публикуется е ежегодном информационном указателе «Национальные стандарты», а текст изменений и поправок — в ежемесячном информационном указателе «Национальные стандарты». В случае пересмотра (замены) или от мены настоящего стандарта соответствующее уведомление будет опубликовано в ежемесячном информационном указателе «Национальные стандарты». Соответствующая информация, уведомление и тексты размещаются также в информационной системе общего пользованияна официальном сайте Федерального агентства по техническому регулированию и метрологии в сети Интернет

* Приказом Федерального агентства по техническому регулированию и метрологии от 26 мая 2015 г. N9 440-ст
национальный стандарт ГОСТ Р 54808—2011 «Арматура трубопроводная. Нормы герметичности затворов» отменен с 1 апреля 2017 г.

© Стандартинформ. 2015

В Российской Федерации настоящий стандарт не может быть полностью или частично

воспроизведен. тиражирован и распространен в качестве официального издания без разрешения Федерального агентства по техническому регулированию и метрологии


Содержание


1 Область применения 1

2 Нормативные ссылки 1

3 Термины, определения, сокращения и обозначения 1

4 Общие положения 4

5 Нормы герметичности затворов 5
5.1 Нормы и классы герметичности затворов арматуры запорной, обратной
и предохранительной 5
5.2 Нормы и классы герметичности затворов регулирующей арматуры 6
5.3 Рекомендации по назначению классов герметичности 7

6 Порядок установления в КД требований по герметичности затвора 8

7 Требования к испытаниям на герметичность затвора 8

Приложение А (справочное) Соотношение значений номинальных диаметров и номинальных
давлений, выраженных в метрической системе и в единицах США 10

Приложение Б (справочное) Нормы герметичности затворов арматуры запорной.
обратной и предохранительной по воде 11

Приложение В (справочное) Нормы герметичности затворов арматуры запорной и обратной
по воздуху при Рисп = 0.6 МПа 14

Приложение Г (рекомендуемое) Нормы герметичности затворов по воздуху для арматуры
запорной и обратной при Рисп = PN (Рр). для арматуры предохранительной
при Рисп= Рр       17

Приложение Д (справочное) Нормы герметичности затворов регулирующей арматуры
при испытании водой при ÐРисп = 0.4 МПа и воздухом при Р1абс = 0.5 МПа
и ÐРисп = 0.4 МПа         40

Приложение Е (рекомендуемое) Рекомендации по назначению классов герметичности
затворов арматуры       43

Приложение Ж (справочное) Примеры записи в НД допущений по изменению утечки в затворе... .        45

Приложение И (справочное) Пересчет утечек в затворе при замене испытательной среды 46

Библиография            50


МЕЖГОСУДАРСТВЕННЫЙ СТАНДАРТ

Арматура трубопроводная
НОРМЫ ГЕРМЕТИЧНОСТИ ЗАТВОРОВ

Pipeline valves. Leakage rales of valves


Дата введения — 2016—04—01


1. Область применения

Настоящий стандарт устанавливает нормы и классы герметичности затворов трубопроводной арматуры (далее — арматуры) номинальных диаметров от DN 3 до DN 2400 на номинальные давления до РN 420 всех видов (запорная, обратная, предохранительная, регулирующая, распределительно-смесительная. фазоразделительная) и всех типов (задвижки, клапаны, краны и дисковые затворы), а также для комбинированной арматуры.

Нормы герметичности, приведенные в стандарте, применяют при всех видах испытаний, а также при проверках герметичности затвора арматуры в процессе эксплуатации.


2 Нормативные ссылки

В настоящем стандарте использованы нормативные ссылки на следующие межгосударственные
стандарты:

ГОСТ 12.2.035—2002 Сосуды, работающие под давлением. Клапаны предохранительные. Требования безопасности

ГОСТ 17433—80 Промышленная чистота. Сжатый воздух. Классы загрязненности

ГОСТ 24856—2014 Арматура трубопроводная. Термины и определения

ГОСТ 33257—2015 Арматура трубопроводная. Методы контроля и испытаний


Примечание — При пользовании настоящим стандартом целесообразно проверить действие ссылочных стандартов в информационной системе общего пользования — на официальном сайте Федерального агентства по техническому регулированию и метрологии в сети Интернет или по ежегодному информационному указателю
«Национальные стандарты», который опубликован по состоянию на 1 января текущего года, и по выпускам ежемесячного информационного указателя «Национальные стандарты» за текущий год. Если ссылочный стандарт заменен (изменен), го при пользовании настоящим стандартом следует руководствоваться заменяющим (измененным) стандартом. Если ссылочный стандарт отменен без замены, то положение, в котором дана ссылка на него,
применяется в части, не затрагивающей эту ссылку.



3. Термины, определения, сокращения и обозначения


3.1 В настоящем стандарте применены термины по ГОСТ 24856. а также следующие термины с

соответствующими определениями:

3.1.1 арматура запорная: Арматура, предназначенная для перекрытия потока рабочей среды с определенной герметичностью.

3.1.2 арматура запорно-регулирующая: Арматура, совмещающая функции запорной и

регулирующей арматуры.

1) В Российской Федерации действует ГОСТ Р ИСО 8573-1—2005.

Издание официальное


3.1.3 арматура комбинированная: Арматура, совмещающая различные функции (например,
функции запорной и защитной, функции запорной и регулирующей и т. д.).

3.1.4 арматура невозвратно-запорная: Арматура, выполняющая функцию обратной арматуры,
в которой может быть осуществлено принудительное закрытие или ограничение хода запирающего элемента.

3.1.5 арматура невозвратно-управляемая: Арматура, выполняющая функцию обратной арматуры. в которой может быть осуществлено принудительное закрытие, открытие или ограничение хода запирающего элемента.

3.1.6 арматура обратная: Арматура, предназначенная для автоматического предотвращения обратного потока рабочей среды.

3.1.7 арматура предохранительная: Арматура, предназначенная для автоматической защиты
оборудования и трубопроводов от недопустимого превышения давления посредством сброса избытка рабочей среды.

3.1.8 арматура распределительно-смесительная: Арматура, предназначенная для распределения потока рабочей среды по определенным направлениям или для смешивания потоков.

Примечание — Если арматура предназначена только для распределения или только для смешивания, го такая арматура называется «Распределительная арматура» игы «Смесительная арматура» соответственно.

3.1.9 арматура регулирующая: Арматура, предназначенная для регулирования параметров рабочей среды посредством изменения расхода или проходного сечения.

3.1.10 арматура разделительная (фазоразделительная арматура): Арматура, предназначенная для разделения рабочих сред, находящихся в различных фазовых состояниях, или с различной
плотностью.

3.1.11 герметичность затвора: Свойство затвора препятствовать газовому или жидкостному обмену между средами, разделенными затвором.

3.1.12 давление номинальное PN: Наибольшее избыточное рабочее давление, выраженное в
бар (клс/см2), при температуре рабочей среды 20 еС. при котором обеспечивается заданный срок службы (ресурс) корпусных деталей арматуры, имеющих определенные размеры, обоснованные расчетом на прочность при выбранных материалах и характеристиках прочности их при температуре 20 еС.

3.1.13 давление рабочее Рр: Наибольшее избыточное давление, при котором возможна длительная работа арматуры при выбранных материалах и заданной температуре.

3.1.14 давление настройки Ри: Наибольшее избыточное давление на входе в предохранительный клапан, при котором затвор закрыт и обеспечивается заданная герметичность затвора.

Примечание — Рн должно быть не менее рабочего давления Рр в оборудовании.

3.1.15 давление начала открытия Рно: Избыточное давление на входе в предохранительный
клапан, при котором усилие, стремящееся открыть клапан, уравновешено усилиями, удерживающими запирающий элемент на седле.

3.1.16 диаметр номинальный DN: Параметр, применяемый для трубопроводных систем в качестве характеристики присоединяемых частей арматуры.

Примечание — Номинальный диаметр приблизительно равен внутреннему диаметру присоединяемого трубопровода, выраженному в миллиметрах и соответствующему ближайшему значению из ряда чисел, принятых в установленном порядке.

3.1.17 затвор: Совокупность подвижных и неподвижных элементов арматуры, образующих проходное сечение и соединение, препятствующее протеканию рабочей среды.

3.1.18 класс герметичности затвора (класс герметичности): Характеристика уплотнения, оцениваемая максимально допустимой утечкой испытательной среды через затвор.

3.1.19 норма герметичности затвора Q: Максимально допустимая утечка в затворе арматуры.

3.1.20 нормальные условия: Параметры, принятые для определения объема газов: температура 20 °С. давление 760 мм рт.ст. (101325 Н/м2), влажность равна нулю.

Примечание — Приведенные нормальные условия установлены ГОСТ 2939 для расчета с потребителями в газовой отрасли. По ГОСТ 8.615 нормальные условия именуются как «стандартные условия».

3.1.21 относительная утечка hзат %: Количественный критерий негерметичмости н затворе, представляющий собой выраженное в процентах отношение расхода среды (в м3/ч). плотностью 1000 кг/м3.

протекающей через закрытый номинальным усилием затвор регулирующей арматуры при перепаде давления на нем 0.1 МПа (1 кгс/см2). к условной пропускной способности.

3.1.22 предохранительный клапан: Предохранительная арматура, конструктивно выполненнаяв виде клапана.

3.1.23 мембранно-предохранительное устройство (МПУ): Предохранительная арматура, со-
стоящая из мембранно-разрывного устройства и предохранительного клапана.

3.1.24 противодавление: Избыточное давление на выходе предохранительной арматуры.

Примечание — Противодавление представляет собой сумму статического давления в выпускной системе (в случае закрытой системы) и давления, возникающего от ее сопротивления при протекании рабочей среды.

3.1.25 седло: Неподвижный или подвижный элемент затвора, установленный или сформированный в корпусе арматуры.

3.1.26 испытательная среда: Среда, используемая для контроля арматуры.

3.1.27 условная пропускная способность Кvу . мэ: Пропускная способность при номинальном ходе или номинальном угле поворота

3.1.28 утечка:

1) Проникновение среды из герметизированного изделия под действием перепада давления.

2) Объем среды в единицу времени, проходящей через закрытый затвор арматуры под действием перепада давления.


3.2 В настоящем стандарте применены следующие сокращения:

КД — конструкторская документация;

НД — нормативная документация;

РЭ — руководство по эксплуатации:

ТУ — технические условия;

ЭД — эксплуатационная документация.

 3.2  В настоящем стандарте применены следующие обозначения:

DN- номинальный диаметр;
DN вх  - номинальный диаметр входного патрубка арматуры:
DN вых - номинальный диаметр выходного патрубка арматуры:
Dc - диаметр седла, мм;
N воды - количество капель воды;
N воздуха - количество пузырьков воздуха:
PN - номинальное давление;
P1абс - абсолютное давление до арматуры;
P2абс - абсолютное давление после арматуры:
Р исп - давление испытательной среды:
Р и min - минимальное, из указанных в КД. давление настройки изделия;
ÐP исп - перепад давления на регулирующей арматуре;
ÐP max - максимально допустимый перепад давления на арматуре:
V кап - объем капли воды:
Vпуз - объем пузырька воздуха:
Þ - плотность испытательной среды. кг/мэ. при параметрах испытаний Р1вбс и t1,;
Þн - плотность испытательной среды при нормальных условиях. кг/м куб.
 - (для воздуха Þн возд = 1.2 кг/м3):
к — показатель адиабаты испытательной среды (для воздуха к - 1.4);

t1 — температура испытательной среды. *С.

Примечание — При отсутствии единиц измередо) давлений (Рр. Рнидр.) значения давлений в бар (кгс/см2).


4 Общие положения


4.1 Испытательные среды:

- вода (которая может содержать ингибитор коррозии), керосин или любая другая жидкость, вязкость которой не превышает вязкости воды:

воздух или другой газ (например, азот, природный газ. фреон). Воздух должен быть осушен до температуры точки росы, исключающей выпадение влаги при дросселировании.

Вид испытательной среды устанавливают в ТУ и выбирают в зависимости от опасности рабочей
среды:

- для арматуры на жидкие среды, не относящиеся к опасным веществам (1) — испытательная
среда вода или воздух:

для арматуры на газообразные среды, а также жидкие среды, относящиеся к опасным веществам [1] — испытательная среда воздух. Допускаются испытания водой по согласованию с заказчиком:

- для арматуры АС испытательная среда — вода или воздух |2).

4.2 Давление испытательной среды Яисп указывают в КД (ЭД) и выбирают из таблицы 1.


Таблица 1


Вид арматуры Давление Р исп дпя испытательной среды
вода воздух
Запорная и обратная 1,1 PN (0.6 ±0.1) МПа
1.1 Рr PN
1,1 dPmax Pr
dPmax
Предохранительная
0,9Рна
Регулирующая 0.4 МПа
PN
Рр
dPmax

Примечания
1По согласованию с заказчиком допускается проводить испытания при давлениях P исп. отличных от указанных (для предохранительной арматуры — с учетом требований 5.1.5). Параметры испытаний и норму герметичности затвора устанавливают в КД
2 Дополнительно, по требованию заказчика, проводят испытания при минимальном рабочем давлении или минимальном перепаде давлений (по условиям технологического процесса). Параметры испытаний и норму герметичности затвора устанавливают в КД.



4.3 Скорость подъема давления, время выдержки арматуры под давлением при установившемся давлении и время контроля (измерения утечки в затворе) — в соответствии с ГОСТ 33257 (или [4)). если в КД не указано иное.

4.4 Температура испытательной среды — от 5 “С до 40 °С за исключением случаев, оговоренных в КД. При проведении испытаний разность температур стенки корпуса арматуры и окружающего воздуха не должна вызывать конденсацию влаги на поверхности стенок арматуры.

4,5 Если для обозначения номинального диаметра арматуры применено обозначение в единицах США {NPS в дюймах), то для определения нормы герметичности затвора предварительно следует определить значение DN, эквивалентное NPS в соответствии с приложением А (таблицей А.1).

Если для обозначения номинального давления арматуры применен класс давления ANSI, то для
определения нормы герметичности затвора предварительно следует определить значение номинального давления
PN. эквивалентное классу давления ANSI, в соответствии приложением А (таблицей А.2).


5 Нормы герметичности затворов

5.1 Нормы и классы герметичности затворов арматуры запорной, обратной
и предохранительной

5.1.1 Норму герметичности затворов определяют в зависимости от номинального диаметра DN и класса герметичности по таблице 2:

при испытании водой давлением Рисп = 1.1 РN — для всех номинальных давлений PN.

при испытании воздухом:

а) dPисп = 0.6 МПа — для PN › 6:

б) Рисп = PN — для РN<6.


Таблица 2 — Нормы и классы герметичности затворов запорной

и обратной арматуры


Класс герметичности

Норма герметичности затвора Q, не более, для испытательной среды

вода при Рисп

воздух при Рисп= 0.6 МПа

Q мм куб/с

Q см куб/мин

Q мм куб/с

Q см3/мин

А

Отсутствие видимых утечек в течение времени испытания

АА

Q.006DN

0.00036DN

0.18DN

0.011 DN

В

0,01 DN

0.0006DN

0.30 DN

0.018DN

С

0.03 DN

0,0018 DN

3.00 DN

0.18DN

сс

0.08DN

0.0048DN

22.ЗDN

1.30 DN

D

0.10 DN

0.0060DN

30DN

1.80 DN

Е

0.30 DN

0.018DN

300DN

18.0DN

ЕЕ

0.39 DN

0.023DN

470DN

28.2DN

F

1.0DN

0.060DN

3000DN

180 DN

G

2.0 DN

0,12 DN

6000DN

360 DN


Примечания

1 Норма герметичности по воде приведена для всех значений давления испытательной среды Рисп указанных в таблице 1.

2 Для арматуры, у которой номинальные диаметры входного и выходного патрубков разные норму герметичности рассчитывают, принимая DN. равным меньшему из диаметров патрубков DNвх или DNвых.

3 Нормы и классы герметичности затворов соответствуют международному стандарту [3].


2.1.2 Нормы герметичности (значения допустимых утечек в затворе Q) по воде и воздуху в зависимости от класса герметичности приведены в приложениях Б и В:

- нормы герметичности по воде для запорной и обратной арматуры при Рисп = 1.1 PN — е таблице Б.1:

- нормы герметичности по воздуху для запорной и обратной арматуры при Рисп = 0.6 МПа — в
таблице В.1.

5.1.3  Допускается задавать норму герметичности затвора количеством капель воды либо пузырьков воздуха. Допустимое количество капель воды Nводы (пузырьков воздуха N возд) в зависимости от внутреннего диаметра насадки (трубки), подсоединенной к выходному патрубку арматуры (относительно подачи испытательной среды), вычисляют по формулам (1) или (2):


Nводы=Qводы/Vкап

где.
Qводы — норма герметичности затвора по воде:
Vкап — объем капли воды в зависимости от внутреннего диаметра насадки (трубки) в соответствии с ГОСТ 33257;

Nвозд=Qводы/Vкап


где,

Q воды — норма герметичности затвора по воздуху;
V кап — объем пузырька воздуха в зависимости от внутреннего диаметра насадки (трубки) в соответствии с ГОСТ 33257.

5.1.4    Испытание воздухом давлением Рисп = PN (Рр) проводят по требованию заказчика:
•    арматуры на номинальное давление не более PN 200 только классов герметичности «А». «АА», «Вв. «С». «ССв и «D»:
•    арматуры на номинальные давления PN 250 и PN 320 только классов герметичности «А». «АА» и «В»;
-    арматуры на номинальное давление PN 420 только класса герметичности «А».
Норму герметичности затвора устанавливают по согласованию с заказчиком.
Рекомендуемые значения допустимых утечек в затворе Й при Рисп = PN (Рр) приведены в приложении Г (таблицы Г.1—Г.5).

5.1.5    Для предохранительной арматуры:
•    утечку е затворе определяют при давлении Рисп. равном давлению настройки Р„. если в КД не указано иное. Допускается утечку в затворе определять при давлении Рисл = 0.9 Рнх>, при зтом методика испытаний в соответствии с [5]. [61 и [7]. норма герметичности — по значению Рмсп = 0.9 Ри 0;
•    утечку в затворе определяют при давлении Рисп, равном минимальному значению диапазона настройки РНП!|(1, указанного в КД. если при заказе не указано конкретное значение Рм;
-    норму герметичности затвора определяют, принимая вместо DN зиачениеОс:
а)    по воде — по таблице Б.1. принимая вместо Р_„ = 1.1 PN, а значение Р исп= Р .

б)    по воздуху — для значения PN, ближайшего меньшего к Рн min . (Рисп )— по таблицам Г.1—Г.5.

Определение утечки для промежуточных значений Рн и Dc следует проводить с помощью интерполяции.

5.1.6    Определение утечки для промежуточных значений давлений и диаметров следует проводить с помощью интерполяции.


5.2    Нормы и классы герметичности затворов регулирующей арматуры


5.2.1    Норму герметичности затворов определяют в соответствии с таблицей 3 в зависимости от вида испытательной среды, условной пропускной способности Kv . перепада давления на арматуре dРисп„ и абсолютного давления до арматуры P1вбс.  
5.2.2    Нормы герметичности затворов (значения утечек в затворе Q) по воде (при dРисп = 0.4 МПа) и по воздуху (при Р1абс = 0.5 МПа и dРисп = 0.4 МПа) в зависимости от значения условной пропускной способности Ку для классов герметичности «II». «III». «IV* и «IV-S1» приведены в приложении Д:
-    нормы герметичности затвора по воде при dРисп = 0.4 МПа — в таблице Д.1;
•    нормы герметичности затвора по воздуху при Р1абс = 0.5 МПа и dРисп = 0.4 МПа — в таблице Д.2.


Таблица 3 — Нормы и классы герметичности затвора регулирующей арматуры







5.3 Рекомендации по назначению классов герметичности


5.3.1 Рекомендации по назначению классов герметичности приведены в приложении E:

- для запорной, обратной, предохранительной, распределительно-смесительной и фазоразделительной арматуры - в таблицах Е.1 и Е.2;

- для регулирующей арматуры - в таблице Е.3.


5.3.2 Для фазоразделительной арматуры нормы и классы герметичности затворов назначают по таблице 2.


5.3.3 Для распределительно-смесительной арматуры нормы и классы герметичности назначают в зависимости от ее назначения: или как для запорной арматуры, или как для регулирующей;


5.3.4 Для комбинированной арматуры нормы и классы герметичности затворов назначают по составляющим видам арматуры, при этом:

- для запорно-регулирующей арматуры - как для запорной арматуры или как для регулирующей;

- для невозвратно-запорной и невозвратно-управляемой арматуры - для каждого режима работы отдельно (запорной или обратной арматуры) в соответствии с рекомендациями по приложению Е.

Нормы и классы герметичности затворов согласовывают с заказчиком.



6 Порядок установления в КД требований по герметичности затвора


6.1 В КД разработчик арматуры указывает класс герметичности затвора арматуры или норму герметичности затвора. При этом в КД указывают вид испытательной среды и давление испытаний.

В КД предохранительной арматуры, а также регулирующей арматуры классов герметичности "IV-S2", "V" и "VI" разработчик арматуры дополнительно указывает диаметр седла ГОСТ 9544-2015 Арматура трубопроводная. Нормы герметичности затворов (с Поправкой).


6.2 Допускается устанавливать нормы герметичности затворов, отличные от норм, указанных в настоящем стандарте (в зависимости от конкретных условий эксплуатации арматуры).


6.3 Примеры записи в КД класса герметичности или нормы герметичности затвора арматуры.


Примеры


1 Для запорной, обратной арматуры:


а) "Класс герметичности затвора - "В" по ГОСТ 9544, испытательная среда - вода, давление испытаний ГОСТ 9544-2015 Арматура трубопроводная. Нормы герметичности затворов (с Поправкой)=1,1 PN";


б) "Класс герметичности затвора - "СС" по ГОСТ 9544, испытательная среда - воздух, давление испытаний ГОСТ 9544-2015 Арматура трубопроводная. Нормы герметичности затворов (с Поправкой)=0,6 МПа".

Допускается запись: "Класс герметичности затвора - "A" по ISO 5208:2008".


2 Для регулирующей арматуры:

"Класс герметичности затвора - "II" по ГОСТ 9544, испытательная среда - воздух, абсолютное давление испытаний ГОСТ 9544-2015 Арматура трубопроводная. Нормы герметичности затворов (с Поправкой)=0,5 МПа, перепад давления ГОСТ 9544-2015 Арматура трубопроводная. Нормы герметичности затворов (с Поправкой)=0,4 МПа".

Допускается запись: "Класс герметичности затвора - "III" по IEC 60534".


3 Для предохранительной арматуры:

"Класс герметичности затвора - "В" по ГОСТ 9544, испытательная среда - вода, давление испытаний ГОСТ 9544-2015 Арматура трубопроводная. Нормы герметичности затворов (с Поправкой)=... МПа".


4 Для всех видов арматуры:

"Утечка в затворе - не более 17 ммГОСТ 9544-2015 Арматура трубопроводная. Нормы герметичности затворов (с Поправкой)/с, испытательная среда - вода, давление испытаний ГОСТ 9544-2015 Арматура трубопроводная. Нормы герметичности затворов (с Поправкой)=... МПа".


6.4 Возможность изменения норм герметичности затворов арматуры в процессе ее эксплуатации, а также при наработке ресурса при испытаниях, определяется по согласованию с заказчиком. В приложении Ж приведены примеры записи соответствующих требований в НД.


6.5 Нормы герметичности при применении испытательных сред, указанных в 4.1:

- при испытании природным газом устанавливают допустимую утечку в затворе, равную значению допустимой утечки в затворе воздуха, умноженному на 1,32;

- при испытании азотом допустимая утечка в затворе не должна превышать значения утечки воздуха;

- при испытании гелием, фреоном и керосином допустимую утечку в затворе указывают в КД;

- при замене гелия и фреона на воздух, керосина на воду, воздуха на пар и пара на воздух допустимую утечку в затворе пересчитывают в соответствии с приложением И и указывают в КД.



7 Требования к испытаниям на герметичность затвора


7.1 Испытания на герметичность затвора следует проводить по ТУ на изделие или по ГОСТ 33257. При применении, по требованию заказчика других методов контроля и испытаний, в КД описывают методики проведения контроля и испытаний и критерии оценки полученных результатов.


7.2 При замене испытательных сред, указанных в КД (гелия, фреона и пара на воздух, а также воздуха на пар, а керосина на воду), допустимую утечку в затворе следует пересчитать в соответствии приложением И.


7.2* Требования к испытательным средам
________________
* Нумерация соответствует оригиналу. - Примечание изготовителя базы данных.



7.2.1 Вода должна соответствовать требованиям [9]. Допускается применять воду, соответствующую требованиям [10].


7.2.2 Воздух должен соответствовать классу 9 загрязненности по составу и содержанию посторонних примесей по ГОСТ 17433.

Допускается применять воздух класса чистоты не хуже 684 в соответствии с [11], устанавливающим значения цифр в обозначении данного показателя:


6 _______________________класс чистоты по твердым частицам;

8 ________________________класс чистоты по содержанию воды в жидкой фазе;

4  ________________________класс чистоты по суммарному (общему) содержанию масел.




7.2.3 С учетом материалов уплотнительных поверхностей затворов и условий эксплуатации арматуры в КД на конкретную арматуру допускается устанавливать другие требования к чистоте испытательных сред.


7.2.4 Природный газ должен соответствовать требованиям [12].


7.2.5 Качество других испытательных сред регламентируют в КД на конкретную арматуру. Требования, предъявляемые к качеству испытательных сред, приводят в НД изготовителя.


7.3 При применении объемного, капельного и пузырькового методов контроля утечку в затворе определяют со стороны выходного патрубка арматуры при давлении равном атмосферному или из корпуса арматуры через специальное отверстие.

При пузырьковом методе контроля насадку для отвода воздуха погружают в емкость с водой. Расстояние от поверхности воды до торца насадки в соответствии с ГОСТ 33257. При капельном методе контроля насадку размещают в нижней части патрубка.


7.4 При проведении испытаний должны быть обеспечены точность измерения параметров и требования безопасности в соответствии с ГОСТ 33257.


7.5 При контроле утечек в затворе до 1,67 мм  ГОСТ 9544-2015 Арматура трубопроводная. Нормы герметичности затворов (с Поправкой)/с (0,1 см ГОСТ 9544-2015 Арматура трубопроводная. Нормы герметичности затворов (с Поправкой)/мин) включительно погрешность измерения утечки не должна превышать 0,17 мм ГОСТ 9544-2015 Арматура трубопроводная. Нормы герметичности затворов (с Поправкой)/с (0,01 см ГОСТ 9544-2015 Арматура трубопроводная. Нормы герметичности затворов (с Поправкой)/мин).

При контроле утечек в затворе более 1,67 ммГОСТ 9544-2015 Арматура трубопроводная. Нормы герметичности затворов (с Поправкой)/с (0,1 смГОСТ 9544-2015 Арматура трубопроводная. Нормы герметичности затворов (с Поправкой)/мин) погрешность измерения утечки не должна превышать 5% от допустимого значения величины утечки.

При контроле утечек капельно-пузырьковым методом требования к погрешности измерения утечки не предъявляются.


7.6 Рекомендации по диаметрам отверстий насадок, применяемых для контроля утечек в затворе:

- при выборе диаметра насадки (трубки) для всех классов герметичности (кроме класса "А") объем одной капли (пузырька), проходящей через насадку (трубку), должен быть меньше максимально допустимой утечки за минимально допустимое время испытания;

- для контроля утечек по классу "А" арматуры всех DN следует применять насадки (трубки) с минимальным внутренним диаметром. Время испытаний - не менее 3 мин;

- для контроля максимально допустимых утечек следует применять насадки (трубки) с максимальным внутренним диаметром.


7.7 Средства диагностирования и технические средства должны обеспечивать точность измерения, согласующуюся с критерием допустимой утечки.


7.8 При контроле герметичности затвора арматуры класса герметичности "А" не являются браковочными признаками:

- при испытании водой - образование росы, не превращающейся в стекающие капли, по контуру уплотнительной поверхности;

- при испытании воздухом - образование не отрывающихся пузырьков;

- при применении средств технического диагностирования либо технических средств:


а) при испытании водой - утечка в затворе Q ГОСТ 9544-2015 Арматура трубопроводная. Нормы герметичности затворов (с Поправкой)0,015 мм ГОСТ 9544-2015 Арматура трубопроводная. Нормы герметичности затворов (с Поправкой)/с (9,0ГОСТ 9544-2015 Арматура трубопроводная. Нормы герметичности затворов (с Поправкой)10 ГОСТ 9544-2015 Арматура трубопроводная. Нормы герметичности затворов (с Поправкой) см ГОСТ 9544-2015 Арматура трубопроводная. Нормы герметичности затворов (с Поправкой)/мин);


б) при испытании воздухом - утечка в затворе Q ГОСТ 9544-2015 Арматура трубопроводная. Нормы герметичности затворов (с Поправкой)0,05 мм ГОСТ 9544-2015 Арматура трубопроводная. Нормы герметичности затворов (с Поправкой)/с (3,0ГОСТ 9544-2015 Арматура трубопроводная. Нормы герметичности затворов (с Поправкой)10 ГОСТ 9544-2015 Арматура трубопроводная. Нормы герметичности затворов (с Поправкой) см ГОСТ 9544-2015 Арматура трубопроводная. Нормы герметичности затворов (с Поправкой)/мин).


Приложение А (справочное).

Соотношение значений номинальных диаметров и номинальных давлений, выраженных в метрической системе и в единицах США

Приложение А (справочное)

А.1 Соотношение между значениями номинальных диаметров NPS, выраженных в единицах США, и значениями номинальных диаметров DN, выраженных в метрической системе, приведены в таблице А.1.






Приложение Б (справочное).
Нормы герметичности затворов арматуры запорной, обратной и предохранительной по воде


Приложение Б (справочное)



Таблица Б.1 - Нормы герметичности затворов арматуры по воде при ГОСТ 9544-2015 Арматура трубопроводная. Нормы герметичности затворов (с Поправкой) (в соответствии с таблицей 1) для запорной, обратной и предохранительной арматуры


Номинальный диаметр DN*
Норма герметичности затвора по воде Q, мм/с (см/мин), для классов герметичности

AA B C CC D
3 0,018 -0,001 0,03 -0,002 0,09 -0,005 0,24 -0,014 0,3 -0,02
6 0,036 -0,002 0,06 -0,004 0,18 -0,011 0,48 -0,029 0,6 -0,04
10 0,06 -0,004 0,1 -0,006 0,3 -0,018 0,8 -0,048 1 -0,06
15 0,09 -0,005 0,15 -0,009 0,45 -0,027 1,2 -0,072 1,5 -0,09
20 0,12 -0,007 0,2 -0,012 0,6 -0,036 1,6 -0,1 2 -0,12
25 0,15 -0,009 0,25 -0,015 0,75 -0,045 2 -0,12 2,5 -0,15
32 0,19 -0,011 0,32 -0,019 0,96 -0,058 2,6 -0,16 3,2 -0,19
40 0,24 -0,014 0,4 -0,024 1,2 -0,072 3,2 -0,19 4 -0,24
50 0,3 -0,018 0,5 -0,03 1,5 -0,09 4 -0,24 5 -0,3
65 0,39 -0,023 0,65 -0,039 2 -0,12 5,2 -0,31 6,5 -0,39
80 0,48 -0,029 0,8 -0,048 2,4 -0,14 6,4 -0,38 8 -0,48
100 0,6 -0,036 1 -0,06 3 -0,18 8 -0,48 10 -0,6
125 0,75 -0,045 1,3 -0,078 3,8 -0,23 10 -0,6 13 -0,78
150 0,9 -0,054 1,5 -0,09 4,5 -0,27 12 -0,72 15 -0,9
200 1,2 -0,072 2 -0,12 6 -0,36 16 -0,96 20 -1,2
250 1,5 -0,09 2,5 -0,15 7,5 -0,45 20 -1,2 25 -1,5
300 1,8 -0,11 3 -0,18 9 -0,54 24 -1,4 30 -1,8
350 2,1 -0,13 3,5 -0,21 11 -0,66 28 -1,7 35 -2,1
400 2,4 -0,14 4 -0,24 12 -0,72 32 -1,9 40 -2,4
450 2,7 -0,16 4,5 -0,27 14 -0,84 36 -2,2 45 -2,7
500 3 -0,18 5 -0,3 15 -0,9 40 -2,4 50 -3
600 3,6 -0,22 6 -0,36 18 -1,1 48 -2,9 60 -3,6
650 3,9 -0,23 6,5 -0,39 20 -1,2 52 -3,1 65 -3,9
700 4,2 -0,25 7 -0,42 21 -1,3 56 -3,4 70 -4,2
750 4,5 -0,27 7,5 -0,45 23 -1,4 60 -3,6 75 -4,5
800 4,8 -0,29 8 -0,48 24 -1,4 64 -3,8 80 -4,8
900 5,4 -0,32 9 -0,54 27 -1,6 72 -4,3 90 -5,4
1000 6 -0,36 10 -0,6 30 -1,8 80 -4,8 100 -6
1050 6,3 -0,38 11 -0,66 32 -1,9 84 -5 105 -6,3
1200 7,2 -0,43 12 -0,72 36 -2,2 96 -5,8 120 -7,2
1400 8,4 -0,5 14 -0,84 42 -2,5 112 -6,7 140 -8,4
1600 9,6 -0,58 16 -0,96 48 -2,9 128 -7,7 160 -9,6
1800 10,8 -0,65 18 -1,1 54 -3,2 144 -8,6 180 -11
2000 12 -0,72 20 -1,2 60 -3,6 160 -9,6 200 -12
2200 13,2 -0,79 22 -1,3 66 -4 176 -11 220 -13
2400 14,4 -0,86 24 -1,4 72 -4,3 192 -12 240 -14



Номинальный диаметр DN*
Норма герметичности затвора по воде Q, мм /с (см/мин), для классов герметичности


E EE F G
3 0,9 -0,054 1,2 -0,072 3 -0,18 6 -0,36
6 1,8 -0,11 2,3 -0,14 6 -0,36 12 -0,72
10 3 -0,18 3,9 -0,23 10 -0,6 20 -1,2
15 4,5 -0,27 5,9 -0,35 15 -0,9 30 -1,8
20 6 -0,36 7,8 -0,47 20 -1,2 40 -2,4
25 7,5 -0,45 9,8 -0,59 25 -1,5 50 -3
32 9,6 -0,58 12 -0,72 32 -1,9 64 -3,8
40 12 -0,72 16 -0,96 40 -2,4 80 -4,8
50 15 -0,9 20 -1,2 50 -3 100 -6
65 20 -1,2 25 -1,5 65 -3,9 130 -7,8
80 24 -1,4 31 -1,9 80 -4,8 160 -9,6
100 30 -1,8 39 -2,3 100 -6 200 -12
125 38 -2,3 49 -2,9 125 -7,5 250 -15
150 45 -2,7 59 -3,5 150 -9 300 -18
200 60 -3,6 78 -4,7 200 -12 400 -24
250 75 -4,5 98 -5,9 250 -15 500 -30
300 90 -5,4 117 -7 300 -18 600 -36
350 105 -6,3 137 -8,2 350 -21 700 -42
400 120 -7,2 156 -9,4 400 -24 800 -48
450 135 -8,1 176 -11 450 -27 900 -54
500 150 -9 195 -12 500
-30
1,0х10*3 -60
600 180 -11 234 -14 600
-36
1,2x10*3 -72
650 195 -12 254 -15 650
-39
1,3x10*3 -78
700 210 -13 273 -16 700
-42
1,4x10*3 -84
750 225 -14 293 -18 750
-45
1,5х10*3 -90
800 240 -14 312 -19 800
-48
1,6x10*3 -96
900 270 -16 351 -21 900
-54
1,8х10 -108
1000 300 -18 390
-23
1,0x10*3
-60
2,0х10*3 -120
1050 315 -19 410
-25
1,1х10*3
-66
2,1х10*3 -126
1200 360 -22 468
-28
1,2x10*3
-72
2,4х10*3 -144
1400 420 -25 546
-33
1,4x10*3
-84
2,8х10*3 -168
1600 480 -29 624
-37
1,6x10*3
-96
3,2х10*3 -192
1800 540 -32 702
-42
1,8x10*3
-108
3,6х10*3 -216
2000 600 -36 780
-47
2,0х10*3
-120
4,0х10*3 -240
2200 660 -40 858
-51
2,2x10*3
-132
4,4х10*3 -264
2400 720 -43 936
-56
2,4x10*3
-144
4,8х10*3 -288

* Здесь и далее - для предохранительной арматуры вместо DN принимают значение ГОСТ 9544-2015 Арматура трубопроводная. Нормы герметичности затворов (с Поправкой).


Приложение В (справочное).
Нормы герметичности затворов арматуры запорной и обратной по воздуху при P(исп)=0,6 МПа


Приложение В(справочное)

Нормы герметичности затворов арматуры запорной и обратной по воздуху при ГОСТ 9544-2015 Арматура трубопроводная. Нормы герметичности затворов (с Поправкой) P(исп)=0,6 МПа


Таблица В.1 - Нормы герметичности затворов по воздуху











Приложение Г (рекомендуемое).
Нормы герметичности затворов по воздуху для арматуры запорной и обратной при P(исп)=PN (P(p)), для арматуры предохранительной при P(исп)=P(н)


Приложение Г (рекомендуемое)

Нормы герметичности затворов по воздуху для арматуры запорной и обратной при ГОСТ 9544-2015 Арматура трубопроводная. Нормы герметичности затворов (с Поправкой)=PN (ГОСТ 9544-2015 Арматура трубопроводная. Нормы герметичности затворов (с Поправкой)), для арматуры предохранительной при ГОСТ 9544-2015 Арматура трубопроводная. Нормы герметичности затворов (с Поправкой)


Таблица Г.1 - Нормы герметичности затворов по воздуху для класса герметичности "АА"


Номинальный диаметр DN
Норма герметичности затвора по воздуху Q, мм/с (см/мин), дляPN(


PN1 PN1,6 PN2,5 PN4 PN6
3 0,1 -0,006 0,2 -0,012 0,2 -0,012 0,4 -0,024 0,6 -0,036
6 0,3 -0,018 0,4 -0,024 0,6 -0,036 0,8 -0,048 1,1 -0,066
10 0,7 -0,042 0,8 -0,048 1 -0,06 1,4 -0,084 1,8 -0,11
15 1,4 -0,084 1,6 -0,096 1,8 -0,11 2,2 -0,13 2,7 -0,16
20 2,1 -0,127 2,3 -0,14 2,6 -0,16 3 -0,18 3,6 -0,22
25 2,8 -0,17 3 -0,18 3,3 -0,2 3,8 -0,23 4,5 -0,27
32 4,1 -0,25 4,3 -0,26 4,6 -0,28 5,1 -0,31 5,8 -0,35
40 5,7 -0,34 5,9 -0,35 6,2 -0,37 6,6 -0,4 7,2 -0,43
50 8 -0,48 8,1 -0,49 8,3 -0,5 8,6 -0,52 9 -0,54
65 9 -0,54 9,3 -0,56 9,8 -0,59 11 -0,66 12 -0,72
80 12 -0,72 12 -0,72 13 -0,78 13 -0,78 14 -0,84
100 14 -0,84 15 -0,9 15 -0,9 17 -1 18 -1,1
125 18 -1,1 19 -1,1 19 -1,14 21 -1,3 23 -1,4
150 23 -1,4 23 -1,4 24 -1,44 25 -1,5 27 -1,6
200 27 -1,6 28 -1,7 30 -1,8 32 -1,9 36 -2,2
250 36 -2,2 37 -2,2 39 -2,3 41 -2,5 45 -2,7
300 45 -2,7 46 -2,8 48 -2,9 50 -3 54 -3,2
350 54 -3,2 55 -3,3 57 -3,4 59 -3,5 63 -3,8
400 63 -3,8 64 -3,8 66 -4 68 -4,1 72 -4,3
450 72 -4,3 73 -4,4 75 -4,5 77 -4,6 81 -4,9
500 81 -4,9 82 -4,9 84 -5 86 -5,2 90 -5,4
600 90 -5,4 92 -5,5 95 -5,7 101 -6,1 108 -6,5
650 108 -6,5 109 -6,5 111 -6,7 113 -6,8 117 -7
700 117 -7 118 -7,1 120 -7,2 122 -7,3 126 -7,6
750 126 -7,6 127 -7,6 129 -7,7 131 -7,9 135 -8,1
800 135 -8,1 136 -8,2 138 -8,3 140 -8,4 144 -8,6
900 144 -8,6 146 -8,8 149 -8,9 155 -9,3 162 -9,7
1000 162 -9,7 164 -9,8 167 -10 173 -10 180 -11
1050 180 -11 181 -11 183 -11 185 -11 189 -11
1200 189 -11 192 -12 197 -12 205 -12 216 -13
1400 216 -13 220 -13 227 -14 238 -14 252 -15
1600 252 -15 256 -15 263 -16 274 -16 288 -17
1800 270 -16 276 -17 286 -17 302 -18 324 -19
2000 288 -17 297 -18 310 -19 331 -20 360 -22
2200 324 -19 333 -20 346 -21 367 -22 396 -24
2400 360 -22 369 -22 382 -23 403 -24 432 -26

























Продолжение таблицы Г.2










Таблица Г.3 - Нормы герметичности затворов по воздуху для класса герметичности "С"


















Таблица Г.4 - Нормы герметичности затворов по воздуху для класса герметичности "СС"

























Таблица Г.5 - Нормы герметичности затворов по воздуху для класса герметичности "D"





























Приложение Д (справочное).
Нормы герметичности затворов регулирующей арматуры при испытании водой при (дельта)P(исп)=0,4 МПа и воздухом при P(1абс)=0,5 МПа и (дельта)P(исп)=0,4 МПа


Приложение Д(справочное)

Нормы герметичности затворов регулирующей арматуры при испытании водой при ГОСТ 9544-2015 Арматура трубопроводная. Нормы герметичности затворов (с Поправкой)=0,4 МПа и воздухом при ГОСТ 9544-2015 Арматура трубопроводная. Нормы герметичности затворов (с Поправкой)=0,5 МПа и ГОСТ 9544-2015 Арматура трубопроводная. Нормы герметичности затворов (с Поправкой)=0,4 МПа











Приложение Е (рекомендуемое).
Рекомендации по назначению классов герметичности затворов арматуры


Приложение Е (рекомендуемое)

Таблица Е.1 - Рекомендации по назначению классов герметичности затворов запорной, обратной, предохранительной, распределительно-смесительной и фазоразделительной арматуры, рабочая среда - жидкость






Таблица Е.2 - Рекомендации по назначению классов герметичности затворов запорной, обратной, предохранительной, распределительно-смесительной и фазоразделительной арматуры, рабочая среда - газ






Таблица Е.3 - Рекомендации по назначению классов герметичности затворов регулирующей арматуры


Рекомендуемый класс герметичности Класс герметичности затвора

I II III IV, IV-S1, IV-S2 V VI
Конструктивное исполнение регулирующего клапана Все Двухседельный, клеточный разгруженный Двухседельный, односедельный, клеточный Односедельный, клеточный неразгруженный Односедельный, клеточный Односедельный с мягким уплотнением затвора

Приложение Ж (справочное).
Примеры записи в НД допущений по изменению утечки в затворе

Приложение Ж (справочное)

Ж.1 Примеры записи в НД допущений по изменению утечки в затворе в процессе эксплуатации и при проведении испытаний приведены в таблице Ж.1.


НД Требование НД
[2], пункт 2.3.8.8 При отсутствии в ТЗ и/или ТУ требований к герметичности в процессе эксплуатации величины протечек при приемочных испытаниях после наработки ресурса по пункту 4.2.1 не должны превышать указанных в пунктах 2.3.8.1, 2.3.8.3, 2.3.8.5, 2.3.8.6 более чем в десять раз
[15], пункт 11.4.3 Приемочные критерии

Утечка для арматуры с эластичным седлом и арматуры со смазанной пробкой должна соответствовать ISO 5208, класс А (отсутствие видимой утечки). Для арматуры с металлическим седлом норма утечки не должна превышать норму утечки по ISO 5208:1993, класс D, за исключением того, что норма утечки во время испытаний затвора согласно разделу В.4 не должна превышать более чем в два раза допустимую утечку по ISO 5208:1993, класс D, если не оговорено иначе. Процедуры для испытания различных типов запорной арматуры даны в 11.4.4.

Примечание - К специальным конструкциям может предъявляться требование, чтобы утечка соответствовала ISO 5208:1993, класс D.
Примечания

1 Для арматуры класса герметичности "А" после наработки полного ресурса в процессе испытаний утечка в затворе не должна превышать значение, указанное в настоящем стандарте для класса герметичности "В".

2 Норма герметичности в процессе наработки полного ресурса определяется линейной интерполяцией.

3 Указанные нормы герметичности обеспечиваются при выполнении технического обслуживания арматуры в соответствии с РЭ.



Приложение И (справочное).
Пересчет утечек в затворе при замене испытательной среды


Приложение И (справочное)


И.1 Испытательная среда - вода взамен керосина


И.1.1 Испытание арматуры, для которой в КД указано значение утечки керосина

Допустимую утечку воды q воды см куб/мин вычисляют по формуле:


q воды =1,5 q кер (И.1)


где,
q кер - допустимая утечка керосина, указанная в КД


И. 1.2 Испытание арматуры, у которой утечка керосина не допускается




Время выдержки арматуры под давлением перед началом контроля утечки воды t воды, мин, вычисляют по формуле


tводы = 0,67 t кер   (И.2)


где t - время выдержки под давлением при испытании керосином, мин, указанное в КД.


И.2 Испытательная среда - воздух взамен гелия и фреона


И.2.1 Испытание арматуры, для которой в КД указано значение утечки гелия (фреона)

Допустимую утечку воздуха q возд см куб/мин, вычисляют по формуле


q возд = k*q гел     (И.3)


где k - коэффициент, определяемый по таблицам И.1 и И.2 в зависимости от номинального (рабочего) давления арматуры и значения допустимой утечки в затворе;

q гел - допустимая утечка гелия (фреона), см куб/мин, указанная в КД.




Таблица И.1 - Коэффициент k для пересчета утечек фреона на утечки воздуха











Номинальное давление PN (рабочее давление), МПа


Утечка фреона, см
0,01 0,02 Св. 0,03
коэффициент k
0,1 1,1 0,87 0,74
0,25 1,18 0,88 0,74
0,4 1,47 0,92 0,74
0,6 1,47 0,92 0,74
1 1,35 0,88 0,74
1,6 1,11 0,74 0,74
2,5 0,98 0,74 0,74



Таблица И.2 - Коэффициент k для пересчета утечек гелия на утечки воздуха


Номин давление PN (рабочее давление ), МПа

Утечка гелия, см/мин
0,01 0,02 0,03 0,04 0,05 0,06 0,07 0,08
коэффициент  k
0,1 0,37 0,37 0,37 0,37 0,37 0,37 0,37 0,37
0,25 0,37 0,37 0,37 0,37 0,37 0,37 0,37 0,37
0,4 0,37 0,37 0,37 0,37 0,37 0,37 0,37 0,37
0,6 0,37 0,37 0,37 0,37 0,37 0,37 0,37 0,37
1 0,37 0,37 0,37 0,37 0,37 0,37 0,37 0,41
1,6 0,37 0,37 0,37 0,37 0,37 0,37 0,37 0,55
2,5 0,37 0,37 0,37 0,37 0,37 0,37 0,47 0,64
4 0,37 0,37 0,37 0,37 0,37 0,5 0,66 0,76
6,4 0,37 0,37 0,37 0,4 0,54 0,7 0,8 0,88
10 0,37 0,37 0,53 0,7 0,82 0,9 0,94 0,98
16 0,37 0,75 1 1,1 1,1 1,1 1,1 1,1
20 0,5 1 1,1 1,1 1,1 1,1 1,1 1,1
Св. 20,00 1,1 1,1 1,1 1,1 1,1 1,1 1,1 1,1



Окончание таблицы И.2



Номин давление PN (рабочее давление), МПа
Утечка гелия, см/мин
0,09
0,1 0,11 0,12 0,13 0,14 0,15 Св. 0,15
коэффициент k
0,1 0,37 0,37 0,54 0,69 0,81 0,95 1,09 1,1
0,25 0,37 0,45 0,65 0,79 0,94 1,04 1,1 1,1
0,4 0,4 0,57 0,73 0,87 0,98 1,08 1,1 1,1
0,6 0,49 0,65 0,78 0,9 1 1,1 1,1 1,1
1 0,58 0,72 0,83 0,92 1,01 1,1 1,1 1,1
1,6 0,68 0,79 0,87 0,95 1,03 1,1 1,1 1,1
2,5 0,75 0,86 0,95 1 1,06 1,1 1,1 1,1
4 0,85 0,92 0,98 1,03 1,1 1,1 1,1 1,1
6,4 0,93 0,98 1,02 1,05 1,1 1,1 1,1 1,1
10 1,01 1,03 1,05 1,08 1,1 1,1 1,1 1,1
16 1,1 1,1 1,1 1,1 1,1 1,1 1,1 1,1
20 1,1 1,1 1,1 1,1 1,1 1,1 1,1 1,1
Св. 20,00 1,1 1,1 1,1 1,1 1,1 1,1 1,1 1,1




И.2.2 Испытание арматуры, у которой утечка гелия

Время выдержки арматуры под давлением tвозд, мин, перед началом контроля утечки воздуха вычисляют по формуле


t возд = tгел/k, (И.4)


tгел - время выдержки под давлением при испытании гелием (фреоном), мин, указанное в КД;

k - коэффициент, определяемый по таблицам И.1 и И.2 в зависимости от номинального (рабочего) давления для допустимой утечки в затворе, равной 0,01 см куб/мин.



И.3 Испытательная среда - воздух взамен пара или пар взамен воздуха



И.3.1 Условия пересчета утечки:

- если в соответствии с КД утечку в затворе определяют при отношении абсолютных давлений
B=P2абс/Р1абс >0,25,

то пересчет утечки одной среды на утечку другой среды допускается проводить только для заданного отношения давлений, т.е. при

B=P2абс/Р1абс =const,

- если в соответствии с КД утечку в затворе определяют при отношении абсолютных давлений
B=P2абс/Р1абс<0,25 ,

то пересчет утечки допускается проводить для любых значений P2абс и Р1абс.



И.3.2 Испытательная среда - воздух взамен пара

Испытание на воздухе арматуры, для которой в КД указано значение утечки пара

Объемную утечку пара Qпар см ку/мин вычисляют по формуле:

, (И.5)


где Q возд - утечка воздуха, определенная экспериментально, см/мин;

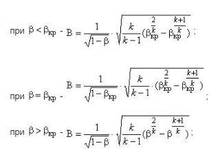
В - коэффициент, учитывающий сжимаемость среды и зависящий от показателя адиабаты k и отношения абсолютных давлений рассчитывается по одной из формуле:

при





k - показатель адиабаты среды;

Вкр - критическое отношение давлений

р пара - плотность пара при параметрах после арматуры P2абс и t:

-P2абс=3,0 кгс/см кв в соответствии с [16];

- температура пара t2 определяется исходя из условия постоянства величины энтальпии пара
Н пар=const при дросселировании.
Энтальпия пара определяется при параметрах пара до арматуры P1абс и t1

dP - перепад давления на закрытом затворе, МПа;

P - плотность среды при параметрах до арматуры





И.3.3 Испытательная среда - пар взамен воздуха


Испытание на паре арматуры, для которой в КД указано значение утечки воздуха

Объемную утечку воздуха Qвозд см куб/мин, вычисляют по формуле


(И.6)


где G - массовая утечка пара (г/мин), полученная экспериментальным путем в результате конденсации пара, проходящего через холодильник после выхода из затвора
арматуры.



Дата: 22.12.18 | 16:18:32

БРЭНДЫ




КОНСУЛЬТАНТЫ

icq icq 673-568-755      Евгения
icq skype aendako      Алексей



НОВАЯ СТАТЬЯ

22.12.18

ГОСТ 9544-2015 Арматура трубопроводная. Нормы герметичности затворов

МЕЖГОСУДАРСТВЕННЫЙ СОВЕТ ПО СТАНДАРТИЗАЦИИ, МЕТРОЛОГИИ И СЕРТИФИКАЦИИ  Читать..

Все статьи >>